SORU BANKASI Filtrele

Giysi Teknik Çizimleri Soruları


Soru 1

(-23) + (+40) – (+32) = işleminin sonucu kaçtır?

A) + 15B) - 49C) -15D) + 31

Soru 2

(-13) x (+6) = işleminin sonucu kaçtır?

A) + 19B) - 78C) + 78D) + 65

Soru 3

(+56) – (-12) = işleminin sonucu kaçtır?

A) + 44B) - 44C) + 68D) + 70

Soru 4

(+44) ÷ (-4) = işleminin sonucu kaçtır?

A) + 48B) - 4C) + 22D) -11

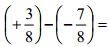
Soru 5

 işleminin sonucu kaçtır?

A)  B)
C)  D)

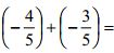
Soru 6

 işleminin sonucu kaçtır?

A)  B) 1
C)  D)

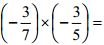
Soru 7

 işleminin sonucu kaçtır?

A)  B)
C)  D)

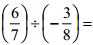
Soru 8

 işleminin sonucu kaçtır?

A)  B)
C)  D)

Soru 9

96000 TL’nin % 25’i kaç liradır?

A) 12000B) 24000C) 36000D) 54000

Soru 10

% 40’i 56 olan sayı kaçtır?

A) 108B) 560C) 120D) 140

Soru 11

260 cm’ nin metre cinsinden değeri aşağıdakilerden hangisidir?

A) 26B) 2600C) 2,6D) 0,26

Soru 12

22 metre 10 cm kaç mm etmektedir?

A) 220B) 2,21C) 22100D) 221

Soru 13

360 mm kaç dm etmektedir?

A) 3,6B) 0,36C) 36D) 3600

Soru 14

508 cm kaç inch etmektedir?

A) 100B) 200C) 20D) 50

Soru 15

80 inch kaç mm etmektedir?

A) 1608B) 2032C) 8000D) 800

Soru 16

56,8 kg kumaş kaç gram etmektedir?

A) 56800B) 568C) 5680D) 0,568

Soru 17

4800 gram iplik kaç kg etmektedir?

A) 480B) 48C) 4,8D) 0,48

Soru 18

36 gram kaç kg. etmektedir?

A) 360B) 3,6C) 0,36D) 0,036

Soru 19

Boyu, eninin 3 katı ve çevre uzunluğu 32 cm olan dikdörtgen uzun kenarı kaç cm dir ?

A) 4B) 12C) 120D) 16

Soru 20

Bir kenar uzunluğu 7 cm olan kare şeklinde bir kumaşın çevre uzunluğu kaç cm’dir?

A) 14B) 35C) 28D) 14
Seçilen
Soru
Sayısı
0
12
2 Sayfada Toplam 34 soru listeleniyor