SORU BANKASI Filtrele

Kimyasal Tepkimelerde Enerji Ünite / Modül Soruları


Soru 1

tepkimesinin entalpi değişimi kaç kj'dür?

A) +1216B) +1584C) -1584D) -1216E) +135

Soru 2

Aşağıda bazı tepkimelerin entalpi değerleri verilmiştir.

tepkimesinin entalpi değişimi kaç kj olur?

A) -314,5B) +314,5C) +157,25
D) -157,25E) +629

Soru 3

X2 + XY3 → 3XY + 84 kj

Yukarıda verilen tepkime için aşağıdaki yargılardan hangisi yanlıştır?

A) Tepkime başladıktan sonra kendiliğinden devam eder.
B) Tepkimeye girenlerin entalpisi daha yüksektir.
C) Düşük sıcaklıkta girenler ürünlerden daha kararlıdır.
D) XY bileşiğinin molar oluşum entalpisi -28 kj/mol'dür.
E) Tepkime entalpisi -84 kj dür.

Soru 4

Bir kimyasal tepkimenin entalpi değişimi aşağıdakilerden hangilerine bağlıdır?

I. Tepkimenin izlediği yola

II. Tepkimeye girenlerin miktarına

III. Tepkime ortamının sıcaklığına

IV. Tepkime ortamının basıncına

A) Yalnız I.B) I ve II.C) II ve IV.
D) III ve IV.E) II, III ve IV.

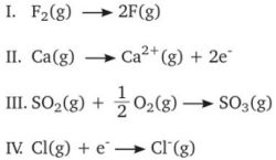
Soru 5

Yukarıdaki tepkimelerden hangisi ya da hangileri endotermiktir?

A) Yalnız I.B) Yalnız III.C) Yalnız IV.
D) I ve II.E) III ve IV.

Soru 6

Yukarıda verilen tepkimelerdenhangilerinin entalpisi molar oluşum entalpisidir?

A) Yalnız II.B) I ve V.C) IV ve V.
D) II ve III.E) II, III ve IV.

Soru 7

tepkimesinin entalpisi aşağıdakilerden hangisidir?

A) +680B) -5C) -30D) +575E) +5

Soru 8

tepkimesinin standart entalpisi -1304 kj'dür. 8,4 gram C2H4 ve 9,6 gram O2 gazı kapalı bir kapta tam verimle tepkimeye giriyor.

Buna göre

I. Normal şartlarda 6,72 L O2 gazı harcanır.

II. 0,2 mol C2H4 gazı artar.

III. Tepkimenin oluşması için 130,4 kj'lük ısı gerekir.

IV. Ürünlerin enerjisi girenlerin enerjisinden küçüktür.

ifadelerinden hangisi ya da hangileri doğrudur?

A) I ve II.B) I ve III.C) II ve III.
D) II ve IV.E) I, II ve IV.

Soru 9

X → Y + Z (ΔH < 0)

Yukarıda verilen tepkime için;

I. Tepkime endotermiktir.

II. Tepkimenin gerçekleştiği kabın sıcaklığı artar.

III. Enerji yönünden Y ve Z daha kararlıdır.

yargılarından hangisi veya hangileri doğrudur?

A) Yalnız I.B) Yalnız II.C) I ve III.
D) II ve III.E) I, II ve III.

Soru 10

24 gram XO2 bileşiği elementlerinden oluşurken 80 kkal ısı açığa çıktığına göre X elementinin atom kütlesi kaçtır?

(O: 16 g/mol)

A) 20B) 22C) 24D) 26E) 28

Soru 11

CaH2 (k), H2 O(s) ve Ca(OH)2 (k) bileşiklerinin standart oluşum ısıları sırasıyla -188kj, -285kj ve -985kj olduğuna göre

CaH2 (k) + 2H2 O(s)→ Ca(OH)2 + H2 (g)

tepkimesinin standart koşullarda entalpi değişimi kaç kj'dür?

A) -227B) -113C) -62D) +113E) +227

Soru 12

Yukarıda verilen tablodaki bağ enerjilerine göre

N2 (g) + 3H2 (g)→2NH3 (g)

reaksiyonu ilestandart şartlarda 8,5 gNH3 elde edilirken açığa çıkan ısı kaç kJ dur?

(N:14 g/mol; H:1 g/mol)

A) 10B) 20C) 30D) 40E) 50

Soru 13

tepkimesinin standart şartlardaki tepkimenin entalpisi -113 kJ'dür.

Bağ enerjileri;C-H=414 kJ/mol, C-Cl=339 kJ/mol,H-Cl=431 kJ/mol olduğuna göre, Cl-Cl bağınınayrışma enerjisi kaç kJ/mol 'dür?

A) 152B) 243C) 354D) 432E) 546

Soru 14

.

A) -252B) -372C) +372D) -438E) +438

Soru 15

.

A) -99,1B) +99,1C) -691,3
D) +691,3E) -395,2

Soru 16

Denklemine göre standart koşullarda 130 gr Zn katısının yeterince oksijen ile reaksiyona girmesiyle kaç kJ enerji açığa çıkar? (Zn:65)

A) 174B) 348C) 522D) 696E) 721

Soru 17

Tepkimesine göre 4,8 g karbon yeterince oksijen ile yakıldığında 158kJ ısı açığa çıkıyor.

Buna göre,CO2 gazının standart molar oluşma entalpisi kaç kJ'dur? ( C:12 )

A) +395B) +158C) +39,5D) -158E) -395

Soru 18

Reaksiyon ısıları bilindiğine göre;

 

 

Reaksiyonunun entalpisi kaç kkal'dir?

A) +120B) -120C) +84D) +26E) -26

Soru 19

Aşağıdaki maddelerden hangisinin standart molar oluşma entalpisi sıfır değildir?

A) H2 (g) B) I2 (s)
C) Fe(k) D) Hg(s)
E) O2 (g)

Soru 20

Tepkimesine göre CH3 OH(s) bileşiğinin standart molaroluşma entalpisikaç kJ'dur?

A) -237,6B) +237,6C) -1516,6
D) +1516,6E) -1516,6
Seçilen
Soru
Sayısı
0
12
2 Sayfada Toplam 21 soru listeleniyor