SORU BANKASI Filtrele

Mantık > Önermeler ve Bileşik Önermeler Ünite / Modül Soruları


Soru 1

“İki tek sayının çarpımı bir tek sayıdır.”

Yukarıda verilen teoremin hipotezi ve hükmü aşağıdakilerden hangisinde tek sayıdır?

A) Hipotez Hüküm x tek sayıdır. x · y tektir.
B) Hipotez Hüküm x veya y tek sayıdır. x · y tektir.
C) Hipotez Hüküm x · y tek sayıdır. x ve y tektir.
D) Hipotez Hüküm x · y tek sayıdır. x veya y tektir.
E) Hipotez Hüküm x ve y tek sayıdır. x · y tektir.

Soru 2

p : “ 2 8 + = 10 ”
q : “ 8 2 - = 6 ”
r : “ 8 2 $ = 4”

önermeleri veriliyor.

Buna göre aşağıdaki önermelerden hangisinin doğruluk değeri 1 dir?

A) p ∧ (r ∨ q)B) (p ∨ q) ∧ rC) r ⇒ (p ∧ q)
D) p ∨ (r ⇒ q)E) p ⇒ (q ∧ r)

Soru 3

Yukarıda verilen doğruluk tablosunda x, y, z ve t harflerinin yerine gelmesi gereken doğruluk değerleri sırasıyla aşağıdakilerden hangisidir?

A) 0, 1, 0, 0B) 1, 0, 1, 1C) 1, 0, 1, 0
D) 1, 1, 1, 0E) 0, 1, 0, 1

Soru 4

Şekildeki ABC üçgeninde

|AC| = 8 cm,
|CD| = 4 cm,
|AD| = 5 cm ve
|BD| = 12 cm olduğuna göre |AB| kaç santimetredir?

A) 9B) 10C) 12D) 14E) 15

Soru 5

q : “∀x ∈ N, x2≥ 0” önermesinin sözel olarak ifadesi aşağıdakilerden hangisidir?

A) “Her tam sayının karesi sıfırdan büyüktür.”
B) “Bazı tam sayıların karesi sıfırdan büyüktür.”
C) “Her doğal sayının karesi sıfırdan büyüktür veya sıfıra eşittir.”
D) “Bazı doğal sayıların karesi sıfırdan büyüktür.”
E) “Her tam sayının karesi sıfırdan büyüktür veya sıfıra eşittir.”

Soru 6

“Doğruluğu ispatlanamayan ama doğru olduğu kabul edilen önermelere .........., doğruluğu ispatlanabilen önermelere .......... denir.”

Yukarıda verilen tanımlarda boş bırakılan yerlere sırası ile hangi kelimeler gelmelidir?

A) aksiyom , teorem B) teorem, aksiyom
C) aksiyom , ispat D) teorem, ispat
E) teorem, tümevarım

Soru 7

x bir gerçek sayı olmak üzere

p: “∃x, x < 5”
q: “∀x, x + 3 = 7”

önermeleri veriliyor.

Buna göre aşağıdaki ifadelerden hangisi yanlıştır?

A) p önermesinin doğruluk değeri 1 dir.
B) q önermesinin doğruluk değeri 0 dır.
C) p': “∀x, x ≥ 5”
D) p ⇔ q önermesinin doğruluk değeri 0 dır.
E) q': “∃x, x + 3 = 7”

Soru 8

p:“∀n ∈ Z, n2 < 10”
q:“∃n ∈ Z, n + 5 < 10”
s: “∃n ∈ Z, –4 < n < 24”

önermeleri veriliyor.

Buna göre p, q' ve s önermelerinin doğruluk değerleri sırası ile aşağıdakilerden hangisidir?

A) 1, 1, 1B) 0, 0, 0C) 1, 0, 0
D) 0, 0, 1E) 0, 1, 1

Soru 9

p : “4 + 3 = 7"
q : “4 · 3 ≥ 12"
önermeleri veriliyor.

Buna göre p ⇒ q önermesinin karşıt tersi aşağıdakilerden hangisidir?

A) 4 + 3 ≠ 7 ise 4 · 3 < 12 B) 4 + 3 ≠ 7 ise 4 · 3 ≥ 12
C) 4 · 3 < 12 ise 4 + 3 = 7 D) 4 · 3 < 12 ise 4 + 3 ≠ 7
E) 4 · 3 ≥ 12 ise 4 + 3 ≠ 7

Soru 10

(p ∧ q´)´ ⇒ p koşullu önermesinin karşıtı aşağıdakilerden hangisidir?

A) p ⇒ (p ⇒ q)B) q´ ∨ pC) p´ ⇒ q
D) p ⇒ (p ∧ q´)E) p´ ∨ (q ⇒ p)

Soru 11

Önermeleri veriliyor. Buna göre aşağıdaki önermelerden hangisinin doğruluk değeri 1 dir?

A) p ∧ (r ∨ q)B) (p ∨ q) ∧ rC) r ⇒ (p ∧ q)
D) p ∨ (r ⇒ q)E) p ⇒ (q ∧ r)

Soru 12

(p ⇒ q)' ∨ (q ∧ p) bileşik önermesi aşağıdakilerden hangisine denktir?

A) p ∧ qB) pC) q
D) p ∨ qE) q'

Soru 13

p ∧ q ≡ 1 olmak üzere

I. p' ∧ q
II. p' V q
III. p ⇔ q'

bileşik önermelerinden hangilerinin doğruluk değeri 1 dir?

A) Yalnız I.B) Yalnız II.C) I ve III.
D) II ve III.E) I, II ve III.

Soru 14

I. Tek sıra halinde ilerleyiniz.
II. Bu film çok güzel.
III. 8 sayısının karekökü 4’tür.
IV. Eşkenar üçgenin tüm iç açılarının ölçüleri 60° dir.
V. Negatif sayıların tüm kuvvetleri negatiftir.

Yukarıda verilen ifadelerden kaç tanesi önermedir?

A) 1B) 2C) 3D) 4E) 5

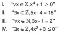
Soru 15

Yukarıda verilen önermelerin kaç tanesinin doğruluk değeri 0 dır?

A) 0B) 1C) 2D) 3E) 4

Soru 16

Yukarıda verilen önermelerin kaç tanesinin doğruluk değeri 1 dir?

A) 0B) 1C) 2D) 3E) 4

Soru 17

A) Yalnız IB) Yalnız IIC) I ve III
D) I ve IIE) II ve III

Soru 18

.

A) pB) 0C) qD) p´E) 1

Soru 19

.

A) p´B) p^qC) pD) qE) 0

Soru 20

.

A) pB) 1C) p´D) qE) 0
Seçilen
Soru
Sayısı
0
12
2 Sayfada Toplam 23 soru listeleniyor