SORU BANKASI Filtrele

Sayma Ünite / Modül Soruları


Soru 1

(a + b + c)10 ifadesi açıldığında a2 . b4. c4 lü terimin katsayısı kaç olur?

A) 3110B) 3150C) 3250D) 3300E) 3310

Soru 2

(x3 + y2 + z3)12 açılımında elde edilen terimlerden kaç tanesinde y8 çarpanı vardır?

A) 4B) 5C) 6D) 8E) 9

Soru 3

(a - b - c)5 açılımında a2. b . c2 li terimin katsayısı kaçtır?

A) 30B) 32C) -28D) -30E) -32

Soru 4

(a + b + c)8 açılımında a4 ün çarpan olarak bulunduğu terimlerin kat sayıları toplamı kaçtır?

A) 110B) 112C) 115D) 120E) 125

Soru 5

(a + b + c)7 açılımında b3 ün çarpan olarak bulunduğu kaç terim vardır?

A) 3B) 4C) 5D) 7E) 8

Soru 6

(4x+ y - 3)4 açılımındaki terimlerin katsayıları nın toplamı ile sabit terimin toplamı kaçtır?

A) 100B) 98C) 97D) 96E) 90

Soru 7

(x - y + z)5 açılımında A . x2. y2. z ifadesinde A kaçtır?

A) 32B) 30C) 28D) 26E) 20

Soru 8

n bir pozitif tam sayıdır. (2x + 3y - 1)n ifadesinin açılımındaki; katsayıların toplamı 256 olduğuna göre, sabit terim kaçtır?

A) 0B) 1C) 2D) 3E) 4

Soru 9

(x2-2xy   +y2)n açılımında 19 terim olduğuna göre, n doğal sayısı kaçtır?

A) 9B) 10C) 11D) 12E) 13

Soru 10

(x + 3y - 2)4 açılımında bütün terimlerin katsayıları toplamı kaçtır?

A) 10B) 12C) 16D) 20E) 22

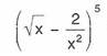
Soru 11

 açılımı yapıldığında sabit terim kaç olur ?

A) 4B) 5C) 6D) 7E) 8

Soru 12

   açılımında ortanca terim kaçtır?

A) -60B) -65C) 60D) 65E) 68

Soru 13

  açılımında x6 lı terim katsayısı kaçtır?

A) 14/4B) 15/4C) 16/4D) 17/4E) 18/4

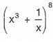
Soru 14

  açılımında x8li terimin katsayısı kaçtır

A) 10B) 11C) 12D) 14E) 15

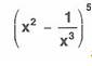
Soru 15

  açılımında sabit terim aşağıdakilerden hangisidir?

A) 10B) -10C) 20D) -20E) 22

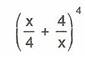
Soru 16

 açılımında sabit terim kaçtır?

A) 20B) 28C) 30D) 34E) 38

Soru 17

  ifadesinin açılımında sabit terim kaçtır?

A) 20B) 22C) 24D) 26E) 28

Soru 18

 açılımında sabit terim sayısı kaçtır?

A) 10B) -10C) -9D) 9E) 8

Soru 19

(x + 2y)7 açılımında sondan 3. terimin katsayısı kaçtır?

A) 672B) 550C) 520D) 510E) 500

Soru 20

(2x - 3)5 açılımında sondan 4. terimin katsayısı kaçtır?

A) 620B) 630C) 710D) 720E) 750
Seçilen
Soru
Sayısı
0
1234...11
11 Sayfada Toplam 207 soru listeleniyor