SORU BANKASI Filtrele

İplik Numaralandırma Sistemleri Hesapları Ünite / Modül Soruları


Soru 1

Deney numunelerinin 20 ± 2 °C sıcaklık ve %65 ± 2 bağıl nem şartlarında bekletilmesine ne denir?

A) Kısa liflerin dökülmesi
B) Fazla uzun liflerin dökülmesi
C) Kondisyonlama
D) Kemlingin artması

Soru 2

Ağırlık numaralama sisteminde N1=Nz-(N2+N3) formülü ile hesaplanan nedir?

A) Dört kat ipliğin numarası
B) Bilinmeyen katın numarası
C) Üç katlı ipliklerin (flatör) numarası
D) iki katlı ipliklerin (flatör) numarası

Soru 3

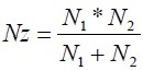
Ağırlık numaralama sisteminde Nz =N1+N2 formülü ile hesaplanan nedir?

A) Birinci tek kat ipliğin numarasını
B) ikinci tek kat ipliğin numarasını
C) Üç katlı ipliklerin (flatör) numarası
D) iki katlı ipliklerin (flatör) numarası

Soru 4

Uzunluk numaralama sisteminde  formülü ile hesaplanan nedir?

A) Birinci tek kat ipliğin numarasını
B) ikinci tek kat ipliğin numarasını
C) Üç katlı ipliklerin (flatör) numarası
D) iki katlı ipliklerin (flatör) numarası

Soru 5

Uzunluk numaralandırma sisteminde  formülü ile hesaplanan nedir?

A) Birinci tek kat ipliğin numarasını
B) ikinci tek kat ipliğin numarasını
C) Tek kat ipliğin numarasını
D) iki katlı ipliklerin (flatör) numarası

Soru 6

Katlı bükülü iplik numarasını hesaplarken formülde kullanılan Nz neyi ifade eder?

A) Birinci tek kat ipliğin numarasını
B) Katlanmış iplik numarasını
C) ikinci tek kat ipliğin numarasını
D) Tek kat ipliğin numarasını

Soru 7

Katlı bükülü ipliğinin numarasını hesaplamak için hangi yöntemler kullanılır?

A) Uzunluk ve ağırlık numaralama sistemleri
B) Yalnız ağırlık numaralama sistemleri
C) Yalnız uzunluk numaralama sistemleri
D) Bükümü ölçülerek

Soru 8

Değişik renk, cins ve numaradaki iplikleri bükerek belirli özellikleri bulunan ipliklere ne denir?

A) Tek kat iplik B) Fantezi iplik
C) Boyalı iplik D) iplik

Soru 9

ipliğe renk efekti vermek için ne yapmak gerekir?

A) Bant B) Fitil
C) Katlı(flatör) iplik D) şerit

Soru 10

Katlı (flatör) iplik yapmanın amacı nedir?

A) Daha dayanıklı iplik elde etmek
B) Kurutulmuş iplik yapmak
C) Ovalama veya bükümle fitile gerekli olan mukavemeti kazandırmak
D) Banda gerekli olan mukavemeti kazandırmak

Soru 11

iki veya daha fazla sayıdaki ipliğin bir araya getirilerek katlanıp birlikte bükülmesinden meydana gelen ipliğe ne denir?

A) Bant B) Fitil
C) Şerit D) Katlı (flatör) iplik

Soru 12

Aşağıdakilerden hangisi numara kontrolü sonucunda yapılan işlemdir?

A) Yıkama işlemini yapmak
B) Makine ayarları düzenlenir
C) Fitil şeridine ovalama veya bükümle gerekli olan mukavemeti kazandırmak
D) Elyafı boyama işlemini yapmak

Soru 13

iplik numarasını ölçmek için belirli uzunluktaki ipliğin çile hâline getirilmesini sağlayan cihaz aşağıdakilerden hangisidir?

A) iplik çıkrığı B) Şerit ve fitil çıkrığı
C) Büküm cihazı D) Mukavemet cihazı

Soru 14

şerit ve fitillerin belirli uzunlukta ölçülüp kesilmesini sağlayan cihaz aşağıdakilerden hangisidir?

A) iplik kalemi B) şerit ve fitil çıkrığı
C) Büküm cihazı D) Mukavemet cihazı

Soru 15

Aşağıdakilerden hangisi, bant fitil ve iplik ağırlıklarının hassas olarak belirlenmesini sağlayan cihazdır?

A) Kurutma makinesi B) Hassas terazi
C) iplik çıkrığı D) Şerit ve fitil çıkrığı

Soru 16

Aşağıdakilerden hangisi, 9000 m uzunluğa karşılık gelen materyalin (bant, fitil, iplik) gram olarak ağırlık miktarıdır?

A) TtexB) NmC) NeD) Td

Soru 17

Aşağıdakilerden hangisi, 1000 m uzunluğa karşılık gelen materyalin (bant, fitil, iplik) gram olarak ağırlık miktarıdır?

A) NeB) DenyeC) TtexD) Nm

Soru 18

Ttex ve Td hesaplamaları hangi numaralama sistemiyle bulunur?

A) Uzunluk numaralama sistemi
B) Uzunluk ölçme sistemi
C) Büküm ölçme sistemi
D) Ağırlık numaralama sistemi

Soru 19

Aşağıdakilerden hangisi, 1 libre (454 g) ağırlığa karşılık gelen materyalin (bant, fitil, iplik) hank olarak uzunluk miktarıdır?

A) NeB) DenyeC) TexD) Nm

Soru 20

Aşağıdakilerden hangisi, 1 g ağırlığa karşılık gelen materyalin (bant, fitil, iplik) metre olarak uzunluk miktarıdır?

A) TexB) NmC) NeD) Denye
Seçilen
Soru
Sayısı
0
12
2 Sayfada Toplam 24 soru listeleniyor