SORU BANKASI Filtrele

Ağırlık Merkezi Ünite / Modül Soruları


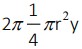
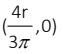
Soru 1

Şekilde verilen yarım dairenin ağırlık merkezi (xg, yg) koordinatları hangi seçenekte doğru verilmiştir?

A)  B)
C)  D)
E)

Soru 2

Şekilde görülen 2r çaplı çemberin ekseni etrafında döndürülmesi ile torus oluşturulmuştur. Oluşan torusun hacmi aşağıdaki seçeneklerde verilen hangi bağıntı ile hesaplanır?

A) 4π2 rR B)
C)  D) 2πAy
E) 2π2 r2 R

Soru 3

Yüzey alanları toplamı 4110 cm2 olan birleşik bir yüzeyin x ekseni etrafında 2π kadar döndürülmesiyle elde edilen cismin hacmi kaç cm3 tür? (π = 3,14 alınacaktır.)

A) 1207945B) 1128505C) 1108500
D) 1004005E) 1000895

Soru 4

Kütlesi 180 kg olan cismin ağırlığı kaç Newton’dur?

A) 1800B) 1750,80C) 1795,30
D) 1755,80E) 1785,95

Soru 5

Şekilde verilen birleşik geometrik yüzeylerden oluşan şeklin ağırlık merkezi (xg, yg) koordinatlarını bulunuz? (π = 3,14 alınacaktır.)

A) (22,88; 23,61) B) (22,41; 22,41)
C) (21,92; 22,22) D) (21,32; 21,32)
E) (21,01; 21,01)

Soru 6

Düzlem bir yüzeyin ağırlık merkezinin bir eksene uzaklığı ile yüzeyin alanının çarpımına yüzeyin ............... denir.

Yukarıda noktalı boşluk bırakılan yere aşağıdaki seçeneklerde verilenlerden hangisi gelmelidir?

A) Yerçekimi kuvveti B) Statik momenti
C) Ağırlık merkezi D) Eğilme momenti
E) Kesme kuvvet

Soru 7

Bir düzlem eğrinin bir eksen etrafında dönmesi sonucu oluşan cismin manto (yüzey) alanı aşağıda verilen hangi bağıntıyla hesaplanır?

A) 2π . A . d2 B) 2π2 . r2 . R
C) 2π . L . d1 D) 2π2 . L . d2
E) 2π . L . yg

Soru 8

Üçgenin ağırlık merkezi aşağıdaki seçeneklerin hangisinde doğru verilmiştir?

A) Üçgenin orta noktası
B) Üçgenin kenar noktaları
C) Üçgenin açıortaylarının kesişim noktası
D) Üçgenin kenarortaylarının kesişim noktası
E) Üçgenin uzun kenarının orta noktası

Soru 9

Şekilde verilen birleşik geometrik yüzeylerden oluşan şeklin ağırlık merkezi (xg, yg) koordinatlarını bulunuz?

A) (6,66; 17,50) B) (12,80; 14,25)
C) (13,46; 15,58) D) (20,25; 18,45)
E) (27,48; 26,64)

Soru 10

Bir cismi meydana getiren küçük parçacıklara etki eden yer çekimi kuvvetlerinin bileşkesinin, cisim üzerindeki uygulama noktasına o cismin ............... denir.

Yukarıda noktalı boşluk bırakılan yere aşağıdaki seçeneklerde verilenlerden hangisi gelmelidir?

A) Denge merkezi B) Statik merkezi
C) Ağırlık merkezi D) Yerçekimi kuvveti
E) Dinamik merkezi

Soru 11

Prizmaların ağırlık merkezleri hesaplanırken hacimlerinden yararlanılır.

Doğru      Yanlış

Soru 12

Prizmaların ağırlık merkezleri hesaplanırken sadece x ve y koordinatlarından yararlanılır.

Doğru      Yanlış

Soru 13

Genelde taşıyıcı yapı elemanları, yük dağılımının daha kararlı olması için düzgün şekillerde ve genellikle ağırlık merkezleri orta noktada olan geometrik şekillerden tasarlanır.

Doğru      Yanlış

Soru 14

Yapı elemanları boyutlandırılırken moment, mukavemet, burulma ve ağırlık merkezlerine göre hesaplanıp boyutlandırılır.

Doğru      Yanlış

Soru 15

Yapı elemanlarının boyutları yönetmeliklere göre hesaplanarak bulunur.

Doğru      Yanlış

Soru 16

Bir cismin devrilmeden dengede kalabilmesi için, ağırlık kuvvetinin taban alanının sınırladığı bölgenin dışında olması gerekir.

Doğru      Yanlış

Soru 17

Her yerinde aynı özelliği gösteren maddeye komposit madde denir.

Doğru      Yanlış

Soru 18

Aynı cins maddeden meydana gelen maddeye türdeş madde denir.

Doğru      Yanlış

Soru 19

Cismin şekli değişse de ağırlık merkezinin yeri değişmez.

Doğru      Yanlış

Soru 20

Uzayda hacmi olan her varlığın bir ağırlık merkezi vardır. Bu ağırlık merkezi; cismin evrende dengede olmasını sağlar.

Doğru      Yanlış
Seçilen
Soru
Sayısı
0
12
2 Sayfada Toplam 28 soru listeleniyor