SORU BANKASI Filtrele

Hesaplamada Temel Kavramlar Ünite / Modül Soruları


Soru 1

olduğuna göre OKEK ( a, b, c ) + OBEB ( a, b, c ) kaçtır?

A) 74B) 184C) 224D) 364E) 404

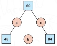
Soru 2

Şekildeki a, b, c harflerinin her biri harfin bağlı olduğu iki sayının ortak bölenlerinin en büyüğüne eşittir. Buna göre a · b - c ifadesi kaçtır?

A) 112B) 124C) 132D) 144E) 156

Soru 3

Bir gıda deposunda toplam 50 ton çilek ve elma bulunmaktadır. Uygun depo koşullarının sağlanmaması sonucu çileklerin %7’si, elmaların ise %8’i çürümüştür. Çürümüş olan çilek ve elmalar toplam 3,8 tondur.

Buna göre depoda kaç ton sağlam çilek vardır?

A) 17B) 17,5C) 17,6D) 18E) 18,6

Soru 4

Hangi sayının %20’si 0,08’dir?

A) 0,1B) 0,2C) 0,3D) 0,4E) 0,5

Soru 5

Bir gömleğin KDV’siz fiyatı 80 TL’dir. Aynı gömleğin %8 KDV’li fiyatı kaç liradır?

A) 86B) 86,4C) 90D) 94,6E) 96,4

Soru 6

olduğuna göre X’in değeri kaçtır?

A) 0B) -1C) +1D) +2E) -2

Soru 7

  ifadesinin değeri kaçtır?

A) -1B) -2C) +2D) +3E) -3

Soru 8

ifadesinin değeri kaçtır?

A) 20B) 30C) 40D) 50E) 60

Soru 9

17’ den küçük en büyük tam sayı -3’ten büyük en küçük tam sayıya bölünürse sonuç kaç olur?

A) -6B) +7C) -8D) +9E) -10

Soru 10

X noktası deniz seviyesinin 1 900 metre üzerindedir. Y noktası deniz seviyesinin 16 metre aşağısındadır.

Buna göre iki noktaya karşılık gelen tam sayıların çarpımı kaçtır?

A) -30 400B) -30 500C) -30 600
D) +30 700E) +30 800

Soru 11

Aşağıda verilen sayı dizilimine göre X – Y kaçtır?

A) –32B) +32C) –96D) +96E) +100

Soru 12
16) - (-5) + (-14) işleminin sonucu aşağıdaki tam sayılardan hangisidir?

A) +10B) –15C) +20D) -25E) +30

Soru 13

Aşağıdaki işlemlerden hangisinin sonucu diğerlerinden farklıdır?

A) ( -7 ) + ( +3 )B) ( -3 ) + ( -1 )C) ( -3 ) + ( +1 )
D) ( +5 ) + ( -9 )E) ( -10 ) + ( +6 )

Soru 14

( -15 )´in toplamaya göre tersi X ve ( +3 )´ün toplamaya göre tersi Y ise X + Y işleminin sonucu aşağıdaki tam sayılardan hangisidir?

A) -11B) +12C) -12D) -18E) +18
Seçilen
Soru
Sayısı
0