SORU BANKASI Filtrele

Mesleki Sayısal Beceriler Ünite / Modül Soruları


Soru 1

Laboratuvarda mezürle ölçüm yaparken hassas davranmayan çalışanın hatası aletsel hatadır.

Doğru      Yanlış

Soru 2

Laboratuvarda kullanılan bir cihazın hata sapması “kabul edilemez” ise cihaz kalibrasyona gönderilir.

Doğru      Yanlış

Soru 3

pH değeri 2 olan çözelti zayıf asittir.

Doğru      Yanlış

Soru 4

0,00008 sayısı 8.10- ⁵ şeklinde yazılır.

Doğru      Yanlış

Soru 5

14679/1000 sayısı ondalıklı olarak 14,679 şeklinde yazılır.

Doğru      Yanlış

Soru 6

Kalibrasyon işlemini laboratuvar çalışanları yapabilir.

Doğru      Yanlış

Soru 7

Ölçüm sonucunun doğru ve güvenilir olduğunu anlamak için referans maddelere karşı yapılan ayarlama işlemine ...... denir.


Soru 8

Uzman kişiler tarafından bir ölçüm cihazının belirli standartlarda ve doğruluğu bilinen bir referans ile ayarlanıp ölçmeden kaynaklanan sapmaların giderilmesi işlemine ..... denir.


Soru 9

Aynı yolla ölçülen ölçümlerin birbirine yakınlığının gösterilmesine ...... denir.


Soru 10

Bir ölçümün gerçek veya kabul edilen değere ne kadar yakın olduğunun gösterilmesine ............ denir.


Soru 11

Tekrarlanan ölçümlerin toplamının ölçüm sonuçlarının sayısına bölünmesiyle bulunan sonuca ..... denir.


Soru 12

Ölçme sonucundaki son rakama ....... denir.


Soru 13

Ölçme sonucunda kesin rakamlardan oluşan sayıya ...... denir.


Soru 14

Kalibrasyon doğrulaması ile ilgili aşağıda verilenlerden hangisi yanlıştır?

A) Laboratuvar çalışanları kalibrasyon doğrulamasını yapabilir.
B) Belirli periyotlarda ve gerektiğinde cihazların kalibrasyon doğrulamasını yapmak gerekir.
C) Analitik terazinin kalibrasyon doğrulaması standart kütlelere göre yapılır.
D) Kalibrasyon doğrulaması işlemini kayıt altına almak gerekir.
E) Kalibrasyon ile kalibrasyon doğrulaması işlemi aynı işlemdir

Soru 15

Aşağıda verilen hangi durumlarda laboratuvarda kullanılan cihaz için kalibrasyon işlemine gerek yoktur?

A) Cihaz tamir edildiğinde
B) Cihaz mekanik darbe görmüş ise
C) Cihazdan alınan sonuçlar hatalı ise
D) Cihaz güvenilir sonuçlar veriyorsa
E) Cihaz ilk kez çalıştırıldığında

Soru 16

2,16532 gram amonyum nitrat [NH4NO3] analitik terazide tartılmıştır. Tartımı 5 anlamlı olacak şekilde yuvarlandığında çıkan sonuç aşağıdakilerden hangisidir?

A) 2,165B) 2,1653C) 2,1654
D) 2,1655E) 2,1656

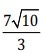
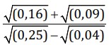
Soru 17

 işleminin sonucu aşağıdakilerden hangisidir?

A) B) C)
D) E)

Soru 18

H⁺ iyonu derişimi 0,00001 M olan sülfürik asit [H2SO4] çözeltisinin pH değerini hesaplayınız.

A) 1B) 2C) 3D) 4E) 5

Soru 19

Kapasiteleri eşit olan 4 öğrenci çamaşır suyu etiketleme işini 12 günde yapmaktadır. Aynı işi 3 öğrenci kaç günde yapar?

A) 9B) 12C) 14D) 16E) 18

Soru 20

Azot dioksit [NO2] bileşiğinde kütlece birleşme oranı  olduğuna göre 21 g azot ile kaç g oksijen birleşir?

A) 24B) 36C) 48D) 60E) 72
Seçilen
Soru
Sayısı
0
123
3 Sayfada Toplam 41 soru listeleniyor